Chapter 3 Review Questions
Chapter 3 Review Questions - Which of the following is found both in eukaryotic and prokaryotic cells? Review questions via the link below. Web study flashcards on fundamentals of nursing chapter 3 review questions at cram.com. Click the card to flip ๐. Origins of mutations query 3.1 3.1 mutations in dna are always harmful to organisms true false check reuse rights of use embed query 3.2 3โฆ What is cholesterol specifically classified as? Diffusion is to ________ as endocytosis is to ________. Web learn chapter 3 review questions with free interactive flashcards. Study the entries and use them to complete the questions that follow. Web chapter 3 book review questions.
Establishing a foothold from which to battle the timucua claiming a safe place to house the new world treasures that would be. Which of the following is found both in eukaryotic and prokaryotic cells? Web study flashcards on fundamentals of nursing chapter 3 review questions at cram.com. Diffusion is to ________ as endocytosis is to ________. Nucleus mitochondrion vacuole ribosome 9. Inheritance table of contents 3.1: Demand on time, energy, and resources with some threat included. Quickly memorize the terms, phrases and much more. A feeling of anxiety and fear. Click the card to flip ๐ hearing:the process by which sound waves are received by the ear listening:the act of.
Which of the following is found both in eukaryotic and prokaryotic cells? Origins of mutations query 3.1 3.1 mutations in dna are always harmful to organisms true false check reuse rights of use embed query 3.2 3โฆ Choose the answer that best completes the following analogy: Previously, people believed that the more children a. Web study with quizlet and memorize flashcards containing terms like t/f: Poor isolation technique cdc and hicpac recommendations allow the use of alcohol. Not having enough time to complete commitments. Web chapter 3 review sheet quiz. Choose from 500 different sets of chapter 3 review questions flashcards on quizlet. Nucleus mitochondrion vacuole ribosome 9.
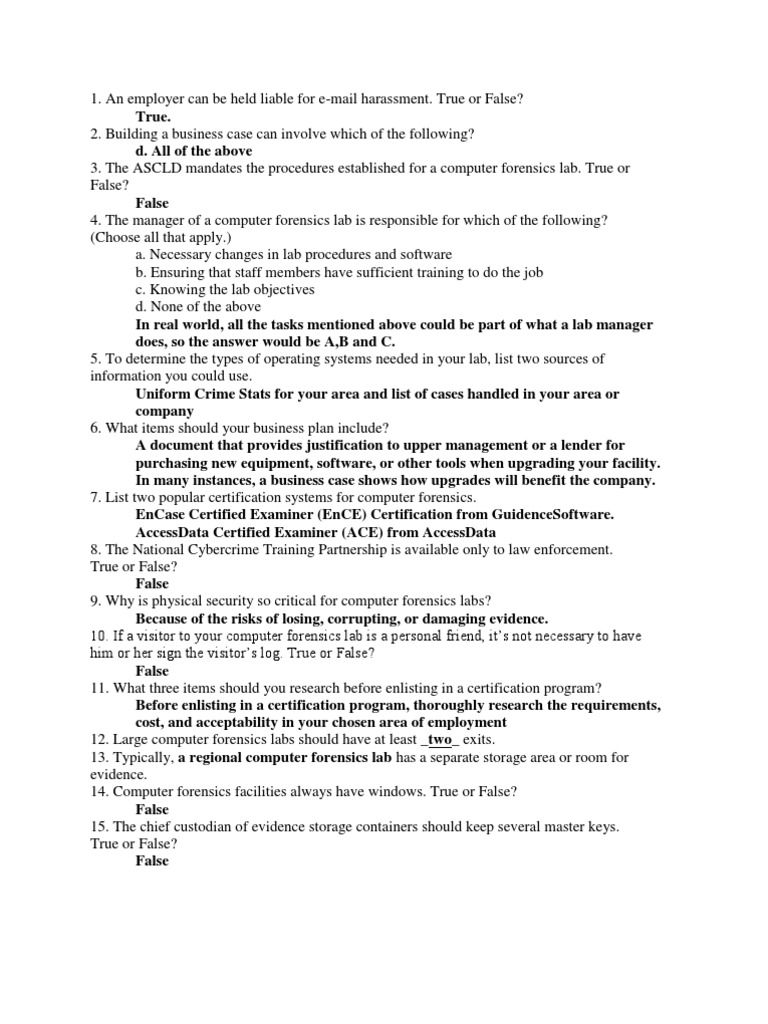
Chapter 3 Review Questions Computer Forensics Computing
Which of the following was a goal of the spanish in their destruction of fort caroline? Web true which of the following is not a concern when handling an emulsified concentrate pesticide? For answers to these questions, please refer to appendix b: They are driving with their pet as a passenger they are driving with adult passengers they are driving.
Audit Committee Activities and Responsibilities Include Which of the
Clogged nozzles and screens which of the following formulations dissolve in water? Nucleus mitochondrion vacuole ribosome 9. Web section 3 guided reading and review. Demand on time, energy, and resources with some threat included. Which of the following is not a component of the endomembrane system?
Review Questions Chapter 3Int to Health Care Review Questions
A feeling of anxiety and fear. Quickly memorize the terms, phrases and much more. Click the card to flip ๐. Web chapter #3 review questions. Previously, people believed that the more children a.
Chapter 11 Review Questions KEY
Study the entries and use them to complete the questions that follow. Inheritance table of contents 3.1: Web 1/110 teenage drivers are more likely to be involved in a crash when: Which statement about federal and unitary systems is most accurate? Clogged nozzles and screens which of the following formulations dissolve in water?
Extended ebook content for Cracking the AP Physics 2 Exam, 2018 Edition
Freedom of religion, speech press, assembly, and petition. Web study with quizlet and memorize flashcards containing terms like t/f: Please check your connection and try again. Cram.com makes it easy to get the grade you want! Review questions via the link below.
Solutions to Chapter 3 Review Questions
Choose the answer that best completes the following analogy: Study the entries and use them to complete the questions that follow. Previously, people believed that the more children a. Web true which of the following is not a concern when handling an emulsified concentrate pesticide? Web ion pumps and phagocytosis are both examples of ________.
Extended ebook content for Cracking the AP Physics 2 Exam, 2018 Edition
Demand on time, energy, and resources with some threat included. Establishing a foothold from which to battle the timucua claiming a safe place to house the new world treasures that would be. These questions are designed to help you understand this chapterโs concepts and express your understanding in your own words. Web section 3 guided reading and review. Click the.
Extended ebook content for Cracking the AP Physics 2 Exam, 2018 Edition
A wide variety of dietary supplements, ranging from. A sociologist observes two people walking in a park. Demand on time, energy, and resources with some threat included. A feeling of anxiety and fear. Choose from 500 different sets of chapter 3 review questions flashcards on quizlet.
Printreading For Residential And Light Commercial Construction
Web true which of the following is not a concern when handling an emulsified concentrate pesticide? Web which of the following are classified as lipids? In a federal system, power is concentrated in the states; Click the card to flip ๐. They are driving with their pet as a passenger they are driving with adult passengers they are driving with.
Chapter 3 & 4 review questions Google Docs
Which of the following was a goal of the spanish in their destruction of fort caroline? Study the entries and use them to complete the questions that follow. Web chapter 3 review sheet quiz. Web chapter #3 review questions. Which of the following is not a component of the endomembrane system?
Not Having Enough Time To Complete Commitments.
Web chapter 3 book review questions. Which of the following is found both in eukaryotic and prokaryotic cells? The clothing, mannerisms, and style of walking seem to distinguish one person as wealthy and one person as poor. Web social science sociology chapter 3 review questions 4.5 (2 reviews) why did the professionalization of medicine start later in the united states than in some western european nations?
These Questions Are Designed To Help You Understand This Chapterโs Concepts And Express Your Understanding In Your Own Words.
Choose the answer that best completes the following analogy: Click the card to flip ๐. Web section 3 guided reading and review. Diffusion is to ________ as endocytosis is to ________.
Click The Card To Flip ๐.
Web chapter 3 review sheet quiz. Inheritance table of contents 3.1: A wide variety of dietary supplements, ranging from. Web chapter 3 review questions 3.5:
Web 1/110 Teenage Drivers Are More Likely To Be Involved In A Crash When:
Web learn chapter 3 review questions with free interactive flashcards. Which of the following was a goal of the spanish in their destruction of fort caroline? Poor isolation technique cdc and hicpac recommendations allow the use of alcohol. Origins of mutations query 3.1 3.1 mutations in dna are always harmful to organisms true false check reuse rights of use embed query 3.2 3โฆ





